Jr. High Girls Basketball Tourney on Saturday: Las Animas will only play in the HS gym

Las Animas School District STUCO School Store: https://tinyurl.com/2p8dfjdj
It may be cold outside, but you can stay warm with spirit wear while saving big on items like hoodies, jackets and blankets! Save 15% sitewide with code: BUNDLEUP. This offer will run through January 31st. There is also free shipping on all orders over $100. Shop Now.
Kindergarten - 4th Grade December Students of the Month are: Back Row; Angel Martinez, Jasmine Ardaly, Caleb Dockter, Josias Flores. Front Row: Ciara Ardaly, Taytum Hines, Brynlee Hines, Aiden Brown, Bryleigh Gallegos

Kindergarten - 4th grade had their celebration assembly this afternoon. Congratulations to December Improvement winners: Myka Linton, Aiden Mcllveen, Camilla Torres, Zachary Lofdahl, Jonathan Bradshaw

HS Basketball Game Info: Today's game at Holly: There will be NO JV Girls games; they will have JV Boys, Varsity Boys & Girls. The Holly game will be free admission and free popcorn! Friday's game at Rye: fans & players are required to wear masks

5th & 6th grade January Celebration Assembly was held this morning. Congratulations to Andy Caddick Improvement Winner, Dallee Nichols Student of the Month and Link Talmage Student of the Month.

Here is an extended list of donations accepted at Children's Hospital/Ronald McDonald House; FBLA will be collecting donations until January 31st. You can drop off any donations at the high school.


Attention all high school winter sports athletes: basketball, wrestling, cheer, swim, and all managers: we will go to the elementary school on
Thursday @ 1:15 pm to hand out your trading cards. Basketball players will leave on the bus from the elementary to the game at Holly, so bring everything you need for the game. After you come back from lunch on Thursday, check into your 6th hour class then report to the cafeteria to pick up your cards.
Winter Sports Spirit Week is next week! All grades and The Early Learning Center are invited to participate in the dress up days. (Check the flyer for the dress up days) Also, check the schedule on the flyer and come support our the Trojans at their games!

All Juniors will take the SAT in April and have the opportunity to also complete the essay. If interested, please contact Mrs. Wallace.

Pure Gold is still recycling milk jugs - rinse your milk jugs and turn them into the HS office! The got their first 50 jugs bagged and ready to recycle!



All 4 The Arts Fundraiser:

Jr/Sr High Announcements for 1/17:

Wednesday Menu Change: Beef Nachos instead of Mac ‘N Cheese (Mac n Cheese will be on 1/25)

Reminder: there is school tomorrow - Monday, Jan 17

For parents of 5th & 6th Graders:

Bethany’s Birthday In a Bag delivered 20 birthday bags to Las Animas Elementary School this week! Thank you Bethany!

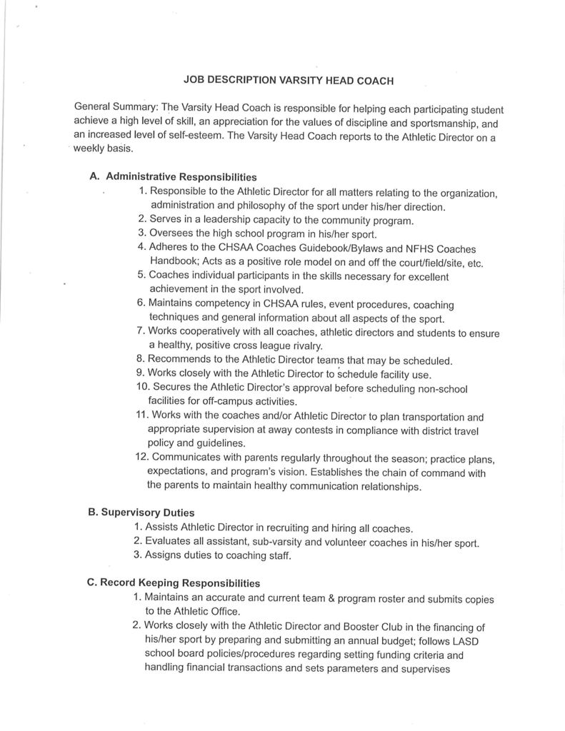
Head Coach Openings: For high school volleyball and football. Submit applications to: Cody Hines @ Las Animas High School or email cody.hines@la-schools.net



Las Animas Jr. High Girls’ Basketball Schedule Changes:
1. Tuesday, Jan 18 @ Cheraw has been cancelled
2. Wednesday, Jan 19 vs Swink has been cancelled
*as of right now, tomorrow’s games vs La Junta are still a go - 10:00 am start at LAHS gym.

Las Animas Booster Club Invites: All Jr. High Boy/Girls Basketball players and Jr. High Wrestlers. There will be a Winter Sports party at 4:00 p.m. on Jan. 20th in
the cafeteria. Please join us in celebrating your Athletic season

